Ecz. Şeyma ŞAHİN
UBİKİNOL MÜ? UBİKİNON MU?
.jpg)
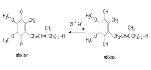
Koenzim Q10 mitokondrilerde aerobik koşullarda yükseltgenmiş kinon (ubikinon 10), indirgenmiş kinol (ubikinol 10) halinde bulunur. Koenzim Q10’ un kimyasal formülü: 2-poliprenil-1,3-dimetil-5-hidroksi 6-metoksi-1,4-benzokinon
.jpg)
Canlıdan canlıya yapı farklılık göstermektedir:
CoQ 10……………………………………………………………………….. insanlar gibi gelişmiş canlılarda
CoQ 9………………………………………………………………………… farelerde
CoQ 8…………………………………………………………………………. E. Colide
CoQ 6………………………………………………………………………….Saccharomyces cerevisiae’ de bulunur.
Koenzim Q insan dahil birçok organizma tarafından sentezlenir.
Bir vitamin değildir fakat yapısı K vitamini ile benzerlik gösterir. (Koenzim Q da bir kinondur fakat K vitamininden bileşik benzen halkasına 2 metoksi grubunun yer değiştirmesiyle farklılık gösterir. Bu yapıya "Ubikinon" denir.)
Koenzim Q10, bütün membranların yapısına girmekle birlikte mitokondri membranının esas yapı taşlarından biridir.
Koenzim Q10’un membranlarda yaptığı etki mekanizmaları; membran stabilitesinin sağlanmasına yardım etmek, membranda akışkanlık ve geçirgenliği arttırmak şeklinde açıklanmaktadır.
Koenzim Q10’un hücre sinyalinde ve gen ekspresyonunda da fonksiyonları olduğu belirtilmektedir.
Koenzim Q10’un hücre büyümesinin ve apoptosisin kontrolünde de rol aldığı bildirmiştir.

30 yıldan daha fazla süredir ubikinon gıda takviyesi olarak kullanılmaktadır.
Son zamanlarda redüklenmiş olan formu ubikinol göze çarptı ve ürün olarak piyasaya sunuldu. Ve pazarlama ubikinondan daha üstün formdur diye geldi: Peki ya gerçekler?
Gerçekleri görmek için şu başlıkları beraber irdeleyelim:
a. CoQ10 molekülü
b. CoQ10 absorpsiyonu
c. CoQ10 transportu
d. Ubiquinol ve ubikinon dönüşüm yolakları
.jpg)
A. CoQ 10 molekül
İki formda izopren kuyruklarından dolayı yağda çözünür özelliktedir.
İki formda birbirine okside ve redükte olarak vücudun ihtiyacı olan yerde dönüşebilir.
Mitokondri iç membranında %90-95 oranında ubikinol olarak bulunur. (Sebep: Enerji üretimi mitokondridedir ve enerji üretimi sırasında meydana gelen serbest radikal hasarıdır.)
Tüm vücut hücreleri koenzim Q 10 sentezleyebilir. Endojen koenzim Q10 sentezi tirozinden başlar ve sentez sırasında B2, B3, B6, B12, C vitaminleri, folik asit, pantotenik asit ve bazı besin öğelerine gereksinim vardır.
Haricen yapımı 2 yolaktan olur;
1. CoQ 9 ve CoQ 10 kısmı sentezi
2. Bakteriler tarafından sentezlenmesi
Ubikinon molekül ağırlığı: 863.365 g/mol
Ubikinol molekül ağırlığı: 865.381 g/mol
B. CoQ 10 absorpsiyon
CoQ 10 ince barsaklardan pasif difuzyon ile emilir. Direkt kana geçmez önce lenf sistemine geçer. Ubikinol ubikonona göre daha suda çözülebilen bir moleküldür fakat bu bunu suda çözünür anlamına getirmez. Ubikinol oral alındığında midede dayanıksızdır bu yüzden sindirim sisteminden geçerken önce ubikinona dönüşür. Bağırsaklarda tekrar ubikinol olur ve emilir. Koenzim Q10 yağda çözünebilen bir madde olduğu için emilimi beslenmemizde yer alan diğer yağlar veya yağda çözünen diğer besin öğeleri gibidir. Koenzim Q10’un emilimi incebağırsakta olur. Yağla birlikte emilimi daha iyidir. İnce bağırsakta, pankreas ve safra salgıları yağların emilimi için gerekli olan emülsiyon ve misel oluşumuna yardım eder. Yağların emilimi için aktif bir taşınım mekanizması yoktur. Koenzim Q10 bağırsak mukoza hücreleri ile alınır, şilomikronların parçası olarak lenf sistemi yolu ile kan dolaşımına taşınır. Karaciğer tarafından lipoprotein partiküllerine tekrar bağlanması için alınır ve özellikle çok düşük yoğunluklu lipoprotein ve düşük yoğunluklu lipoprotein ile birleşir. Daha sonra dokulara geçer
C. CoQ 10 taşınması:
Lenfatik sistem ile taşınır. Dolaşımda redükte olan formu olan ubikinol %90-95 oranında bulunur. Beyin ve akciğer hariç diğer hücrelerde de ubikinol formu ağırlıklı olandır fakat dönüşüm hep vücutta yapılır.
.jpg)
D. Ubikinon Ubikinol dönüşümü:
Emilim ubikinolde alsanız ubikinon da alsanız şu şekildedir. Oral alımı takiben midede ubikinona döner, ince barsakta tekrar ubikinole döner ve ubikinol olarak lenfatik sistemde dolaşıma girer. Vücut hücrelerinde ağırlıklı olarak ubikinol formunda bulunur fakat mitokondri hücre iç membranında ATP için gerekli olan ubikinondur. ATP sentezinde ubikinonun ubikonole döndürülmesi serbest radikal hasarının en fazla olduğu 3. Basamaktadır. Oksidayon ve redüksiyon işlemleri vücut için çok basittir. Dönüşüm hemen yapılır. Ubikinolün antioksidan özelliği ubikinona göre 4 kat daha fazladır ve vücutta diğer antioksidanların tekrar kullanılması için ilk tercih edilen etken madde olduğu için vücutta ubikinol formunda ağırlıklı olması gayet mantıklıdır.
Mitokondri enerji basamakları:
1. Kompleks I (NADH:ubikinon oksidoredüktaz)
2. Kompleks II (süksinat:ubikinon oksidoredüktaz)
3. Kompleks III (ubikinol:ferrositokrom C oksidoredüktaz)
4. Kompleks IV (ferrositokrom c:oksijen oksidoredüktaz ya da sitokrom C oksidaz)
5. Kompleks V (ATP sentaz).
Kullanım alanları ve kullanım dozu?
1. Kardiyovasküler sağlık
2. Hipertansiyon
3. Nörolojik hastalıklar (ALS, Parkinson, MS v.b.)
4. Mitokondriyal bozukluk hastalıkları
5. Migren
6. Kronik böbrek yetmezliği
7. Kanser, HIV, diyabet
8. Periodontal rahatsızlıklar
9. Erkek infertilitesi
10. Kilo kontrolü
11. Antioksidan koruma gerektiren tüm rahatsızlıklar gibi geniş kullanım alanlarına sahiptir.
Genetik mutasyon, yaşlanma, kanser ve ilaçlarla etkileşimler (statin, beta-blokerler, trisiklik antidepresanlar vb.) serum ve dokulardaki koenzim Q10’un azalmasına neden olurlar
Koenzim Q10 α-tokoferol gibi plazmada bulunan diğer antioksidanlarla karşılaştırıldığında düşük konsantrasyonlarda olmasına rağmen, plazma oksidanlara maruz kaldığında ilk tepkimeye giren antioksidandır. Diyetten alınan koenzim Q10’un miktarı serum koenzim Q10’u arttırmak için yeterli değildir. Serum koenzim Q10 düzeyindeki artış günde 100 mg koenzim Q10 alındığında mümkündür. Daha yüksek dozlarda rahatsızlığa göre kullanılabilir. (400-2400 mg) Kandaki normal seviye 1μg/ml civarındadır. Bunu 2μg/ml civarında çıkarmak için günde 100 mg koenzim Q10 alınması gerekmektedir.
1. Turunen M, Olsson J, Dallner G, 2004, Metabolism and function of coenzyme Q, Biochimica et Biophysica Acta (BBA), 2004; 1660(1-2): 171-199.
2. Bhagavan N, Chopra R, Craft N, et al. Assessment of coenzyme Q10 absorption 2007; 333 : 112–117.
3. Tang P, Miles M, DeGrauw A, et al. 2001, HPLC Analysis of Reduced and Oxidized Coenzyme Q10 in Human Plasma, Clinical Chemistry, 2001; 47:2 256–265.
4. Overvad K, Diamant B, Holm L, et al. Review Coenzyme Q10 in health and disease, European Journal of Clinical Nutrition, 1999; 53, 764-770.
5. Bonakdar R. Guarneri E, Coenzyme Q10, American Family Physician, www.aafp.org/afp, 2005; Volume 72, Number 6.
6. Langsjoen P, Introduction To Coenzyme Q10, http://faculty.washington.edu/ely/ coenzq10.html. 1994; (Erişim tarihi: 01.01.2018).
7. Dallner G, Sindelar P, Regulation of ubiquinone metabolism, Free Radical Biology & Medicine, 2000; Vol. 29, Nos. 3/4, 285–294.
8. Hans N, Lars G, Staniek K, The Biochemical, Pathophysiological, and Medical Aspects of Ubiquinone Function. Josef Baumann-Gasse 1, A-1210 Vienna, Austria, 1998; 394-409.
9. Yamashita S, Yamamoto Y, 1997, Simultaneous Detection of Ubiquinol and Ubiquinone in Human Plasma as a Marker of Oxidative Stress, Analytical Biochemistry, 1997; 250, 66–73.
10. Crane F.L, Biochemical functions of coenzyme Q10, Journal of the American College of Nutrition, 2001; 20, 591–598.
11. Pravst I,Zmitek K, Zmitek J, Coenzyme Q10 Contents in Foods and Fortification Strategies, Critical Reviews in Food Science and Nutrition, 2010; 50:269–280 (2010)
12. Kubo H, Fujii K, Kawabe T, et al. Food content of ubiquinol-10 and ubiquinone-10 in the Japanese diet, Journal of Food Composition and Analysis, 2008; 21: 199–210.
13. Weber C, Bysted A, Holmer G, Coenzyme Q10 in the Diet-Daily Intake and Relative Bioavailability, Molecular Aspects of Medicine, 1997; Vol. 18 , 251-254p.
14. Mason P, Potential uses for coenzyme Q10, The Pharmaceutical Journal, 2005; vol 275, 24, 379-382.
15. Hathcock J.N, Shao A, Risk assessment for coenzyme Q10 (Ubiquinone), Regulatory Toxicology and Pharmacology, 2006; 45 : 282–288.
16. Wahlqvist ML, Wattanapenpaiboon N, Savige GS, et al. Bioavailability of two different formulations of coenzyme Q10 in healthy subjects. Asia Pac J Clin Nutr. 1998; 7(1): 37-40.
17. Miles M, The uptake and distribution of coenzyme Q(10), Mitochondrion, volüme 7, Supplement, 2007; s72-77.
18. Kaikkonen J, Nyyssoënen K, Tuomainen T, et al. Determinants of plasma coenzyme Q10 in humans, Federation of European Biochemical Societies (FEBS) Letters, 1999; 443 : 163-166.
19. Quinzii C.M, Hirano M, Dimauro S, CoQ10 deficiency diseases in adults, Mitochondrion, 2007; 7S S122–S126.
20. Portakal O, Özkaya Ö, İnal M, et al. Coenzyme Q10 Concentrations and Antioxidant Status in Tissues of Breast Cancer Patients, Clinical Biochemistry, 2000; Vol. 33, No. 4, 279–284.
21. Michelangelo Mancuso, Daniele Orsucci, Valeria Calsolaro, Anna Choub and Gabriele Siciliano, Coenzyme Q10 and Neurological Diseases, Pharmaceuticals 2009; 2, 134-149.
22. Bonakdar R, Guarneri E, Coenzyme Q10, American Family Physician, 2005; 72:1065-70.
23. Sharma A, Fonarow G, Butler J, et al. Coenzyme Q10 and Heart Failure. Circ Heart Fail. 2016 ;9(4), S1-8.
24. Pepe S, Marasco S, Haas S, Coenzyme Q10 in cardiovascular disease. Mitochondrion 7S,2007; S154–S167
25. Singh R, Niaz M, Rastogi S, et al. Effect of hydrosoluble coenzyme Q10 on blood pressures and insulin resistance in hypertensive patients with coronary artery disease. Journal of Human Hypertension (1999) 13, 203–208.
26. Langsjoen P,Vadhanavikit S, Folkers K, Response of patients in classes III and IV of cardiomyopathy to therapy in a blind and crossover trial with coenzyme Q10. Proc Natl Acad Sci U S A. 1985; 82(12):4240-4.
27. Watson PS, Scalia GM, Galbraith A, et al. Lack of effect of coenzyme Q on left ventricular function in patients with congestive heart failure. J Am Coll Cardiol. 1999 May;33(6):1549-52.
28. Rosenfeldt FL, Haas SJ, Krum H, et al. Coenzyme Q10 in the treatment of hypertension: a meta-analysis of the clinical trials. J Human Hypertens, 2007; 21, 297–306.
29. Neergheen V, Chalasani A, Wainwright L, Coenzyme Q10 in the Treatment of Mitochondrial Disease. Journal of Inborn Errors of Metabolism
& Screening 2017; Volume 5: 1-8.
30. Quinzii CM1, Hirano M, Coenzyme Q and mitochondrial disease. Dev Disabil Res Rev. 2010;16(2): 183-8.
31. Zhu ZG, Sun MX, Zhang WL, et al. The efficacy and safety of coenzyme Q10 in Parkinson’s disease: a meta-analysis of randomized controlled trials. Neurol Sci. 2017; 38(2): 215-224.